Rritja e çmimeve të referencës në rrethe, përveç detyrimeve për taksën e ndërtesës të familjarëve dhe bizneseve pritet të sjellë edhe shtrenjtimin e detyrimeve për taksën edhe për pronarët e parkimeve të mbyllura dhe bodrumeve.
Në taksimin për ndërtesat, në metodologjinë e miratuar në vitin 2018 nga qeveria ku vlera e ndërtesës llogaritet bazuar mbi çmimet e referencës së apartamenteve, përfshiu për taksim edhe garazhet dhe bodrumet e mbyllura.
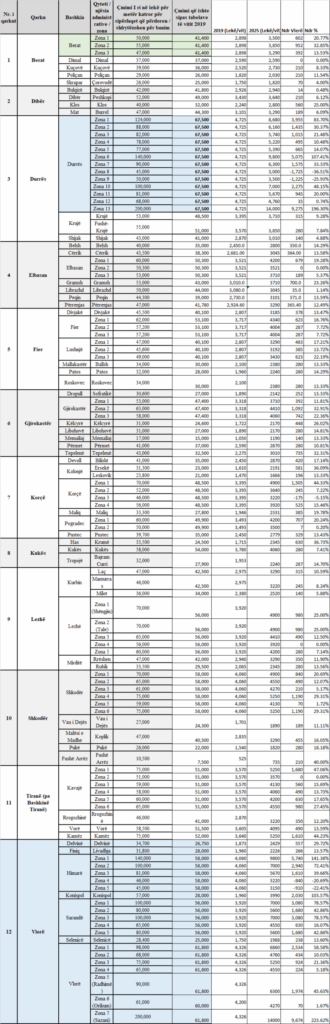
Referuar metodologjisë për llogaritjen e taksës së ndërtesës, shkalla e taksës për garazhet dhe bodrumet në nivel kombëtar është 0,2% e vlerës së pasurisë së paluajtshme që taksohet.
Ndërsa çmimi për metër katror sipërfaqe ndërtimi për parkim të mbuluar dhe bodrume është 70% e çmimit të sipërfaqeve të apartamenteve të banimit sipas qyteteve. Pra vlera e një garazhi të mbyllur apo bodrumi llogaritet me 70% e çmimit të çmimit të referencës së apartamenteve të banimit sipas zonave kadastrale të qyteteve.
Monitor ka llogaritur detyrimin e ri për taksën e ndërtesës të një pronari garazhi të mbyllur apo bodrumi me sipërfaqe 50 m2 për 119 zonat e reja kadastrale në rrethe. Aktualisht rrethet janë të ndara secili qytet vetëm në 1 zonë kadastrale. Me çmimet e reja propozohen shtimi i disa zonave të reja. Çmimet e reja të referencës në rrethe të propozuara nga Ministria e Financave parashikohet të nisin zbatimin nga 1 janari 2026.
Rritja e detyrimeve për pronarët e garazheve dhe bodrumeve në rrethe pritet të variojë nga 0.2% deri në 196%, në të njëjta vlera që pritet të ndryshojnë edhe çmimet e reja të referencës në rrethe.
Konkretisht sipas llogaritjeve me më tepër detyrime do të ngarkohen pronarët e garazheve dhe bodrumeve të zonës kadastrale nr.13 në Durrës që në terren përkon me zonën afër portit. Në këtë zonë çmimet e referencës së apartamenteve nga 67,500 lekë për metër katror është propozuar të jetë 200 mijë lekë për metër katror. Rritje 196%.
Nëse një individ zotëron një garazh të mbyllur me sipërfaqe 50 m2 në këtë zonë nga 4,725 lekë në vit detyrim për taksën e ndërtesës që paguan, pas miratimit të çmimeve të reja të referencës do të ngarkohet me një detyrim prej 14,000 lekë në vit. Rritja në vlerë do të jetë 9,275 lekë më shumë sesa paguan aktualisht apo 196.3% më tepër.
Rritje të lartë detyrimesh në Durrës pritet të ketë edhe për zonën kadastrale nr.6 që në terren përkon në bregdetin e Gjirit të Lalëzit. Nga 4,725 lekë në vit që paguan taksën për garazhin një individ aktualisht, me hyrjen në fuqi të çmimeve të referencës detyrimi do të rritet në vlerën e 5,075 lekëve. Detyrimi i ri për një pronar me garazh të mbyllur me sipërfaqe 50 m2 do të jetë 9,800 lekë në vit apo 107% më shumë sesa paguan aktualisht.
Rritje të ndjeshme detyrimesh të taksës së ndërtesës për garazhet pritet të ketë edhe për zonat e reja kadastrale në Himarë. Përkatësisht në zonën nr.1 kadastrale çmimi i referencës rritet nga 58,000 lekë për metër katror që është aktualisht propozohet në vlerën e 140,000 lekë për metër katror.
Detyrimi i taksës së ndërtesës për garazhin e mbyllur nga 4,060 lekë në vit që është aktualisht, do të arrijë në 9,800 lekë në vit. Rritja në vlerë llogaritet 5,740 lekë në vit apo 141.3% më shumë.
Ndërsa në zonën nr.2 kadastrale në Himarë detyrimi i taksës për një pronar garazhi apo bodrumi nga 4,060 lekë në vit pritet të arrijë në 7,000 lekë në vit. Rritja në vlerë 2,940 lekë apo 72% më shumë.
Shtimi i detyrimeve për taksën e ndërtesës si për apartamentet e banimit, njësitë tregtare, bodrumet e garazhet e mbyllura ndodhi edhe në Tiranë, pas vendimit të miratuar në fund të muajit korrik të vitit 2023, për rritjen e çmimeve të referencës mbi të cilët llogaritet vlera e pasurisë së paluajtshme për taksën e ndërtesës. Çmimet e referencës kishin mbetur të pandryshuara që nga viti 2016.
Me ndryshimet që hynë në fuqi në korrik 2023, u rritën çmimet në 32 zonat kadastrale të kryeqytetit dhe në 5 njësitë administrative të Tiranës. Ndërsa në atë periudhë në rrethe çmimet e referencës mbetën të pandryshuara.
Në Tirana çmimet e referencës së apartamenteve u rritën nga 5 deri në 76%.
Zona me çmimet më të lartë të referencës vijon të mbetet ajo e ish Bllokut që përkon me zonën kadastrale 5/1. Me çmimet e referencës të 2016-ës çmimi fiskal i kësaj zone ishte 190,000 lekë për metër katror. Me ndryshimet e fundit çmimi arrin në 228,400 (rritet 38,400 për metër katror apo 20%).
Rritje të lartë pati edhe në zonat kadastrale 8/2 (Medreseja, Farmacia nr.10, Tregu Industrial). Në vlerë çmimi referencë është rritur 56,700 lekë/m2. Në zonën kadastrale 10/1 (PTT, Telekomi, ish-Lidhja e Shkrimtarëve) çmimi u rrit 47,800 lekë për metër katror./Marrë nga Monitor






