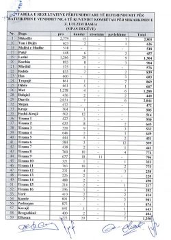
Komisioni i Organizimit dhe Operacioneve Elektorale ka publikuar rezultatet e verifikimit te materialeve zgjedhore dhe miratimin e rezultatit përfundimtar të votimit në Referendumin për ratifikimin e vendimit Nr. 6 të Kuvendit Kombëtar për shkarkimin e kreut të Partisë Demokratike Lulzim Basha.

Në bazë të verifikimit të materialeve zgjedhore dhe procesverbaleve përkatëse rezultatet në rang kombëtar në referendum ishin:

-Pjesëmarrje e përgjithshme në rang kombëtar: 43, 879 anëtarë

-Pro shkarkimi të Lulzim Bashës 43, 385 anëtarë

-Kundër shkarkimit të Lulzim Bashës 306 anëtarë

-Abstenim 17 anëtarë

-Vota të pavlefshme 171 anëtarë